Lượng dung dịch tạo bọt N trong phương pháp chữa cháy tự động sprinkler được quy định trong tiêu chuẩn Việt Nam TCVN 7336:2003 Phòng cháy chữa cháy – Hệ thống sprinkler tự động- Yêu cầu thiết kế và lắp đặt.TCVN 7336:2003 do Ban kỹ thuật tiêu chuẩn TCVN/TC Phòng cháy chữa cháy biên soạn, Tổng cục Tiêu chuẩn đo lường Chất lượng đề nghị Bộ Khoa học và Công nghệ ban hành.
Tiêu chuẩn này quy định các yêu cầu đối với việc thiết kế, lắp đặt hệ thống chữa cháy sprinkler tự động bằng nước, bọt (sau đây gọi là hệ thống sprinkler) trong các tòa nhà và công trình xây dựng mới hoặc cải tạo.
TCVN 7336:2003 này cũng áp dụng cho hệ thống chữa cháy tràn ngập điều khiển bằng sprinkler, đầu bc và điều khiển từ xa hoặc bằng tay.
Tiêu chuẩn này không áp dụng cho hệ thống chữa cháy đối với:
– Các tòa nhà có chức năng đặc biệt và các thiết bị công nghệ ngoài các tòa nhà đó;
– Các phòng ngầm dưới mặt đất của công nghiệp khai khoáng;
– Bể xăng dầu.
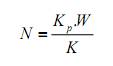
Lượng dung dịch tạo bọt N trong phương pháp chữa cháy tự động sprinkler
Lượng dung dịch tạo bọt N, m3, trong phương pháp chữa cháy thể tích được xác định theo công thức:

Trong đó,
Kp là hệ số vỡ bọt, chọn theo bảng ;
K là bội số nở;
W là thể tích căn phòng được bảo vệ, m3.
Bảng
| Van điều khiển | Đường kính van, mm | Xác định tổn hao áp suất |
| Của đầu sprinkler chữa cháy bằng nước | 100
150 |
H = 0,00302Q2
H = 0,00368Q2 |
| Của đầu sprinkler tạo bọt hòa không khí | 100
150 |
H = 0,00936Q2
H = 0,002269Q2 |
| Của thiết bị sprinkler | 65
100 100 |
H = 0,048Q2
H = 0,00634Q2 H = 0,0014Q2 |
| Của hệ thống chữa cháy | 100
100 200 |
H = 0,00235Q2
H = 0,00077Q2 H = 0,000198Q2 |
Số thiết bị tạo bọt làm việc đồng thời n được xác định theo công thức
![]()
Trong đó,
q là năng suất một thiết bị tạo bọt tính theo dung dịch tạo bọt, m3/phút;
t là thời gian làm việc của thiết bị, được chọn theo bảng .
Bảng
| Các vật liệu cháy của quá trình sản xuất cần bảo vệ | Hệ số vỡ bọt Kp | Thời gian làm việc của thiết bị t, phút |
| Chất rắn | 3 | 25 |
| Chất lỏng | 4 | 15 |
Mong rằng sự tư vấn của bộ phận tư vấn an toàn sẽ giúp bạn lựa chọn phương án thích hợp nhất để giải quyết những vướng mắc của mình. Vui lòng liên hệ Tổng đài tư vấn pháp luật miễn phí 1900 0340 để nhận được ý kiến tư vấn chính xác nhất.
–
Nếu quý vị cần thêm thông tin thì vui lòng liên hệ Trung tâm ứng phó sự cố môi trường
Hotline: 1900 0340 | Tel: 0903 063 599 (Ms Vân)
Email: trungtam@ungphosuco.vn
Các khóa học cấp chứng chỉ và tập huấn an toàn lao động

